Open 31+ pages what is the solution to the inequality below x2 49 analysis in Google Sheet format. How to solve your inequality To solve your inequality using the Inequality Calculator type in your inequality like x79. _____ x 4. X3 x2 49x 49 0 Solve the inequality. Read also what and what is the solution to the inequality below x2 49 What is the solution set.
10Thus neither solution set can satisfy the inequalities simultaneously and thus cannot solve the original inequality. Indeed since x-12 we have 2x10 but since x.

Which Values Are Solutions To The Inequality Below Check All That Apply X2 16 Brainly X 49 Answers.
| Topic: Since when x equals 5 or -5. Which Values Are Solutions To The Inequality Below Check All That Apply X2 16 Brainly What Is The Solution To The Inequality Below X2 49 |
| Content: Analysis |
| File Format: PDF |
| File size: 3.4mb |
| Number of Pages: 29+ pages |
| Publication Date: April 2019 |
| Open Which Values Are Solutions To The Inequality Below Check All That Apply X2 16 Brainly |
Just leave the inequality as it is.

Eddibear3a and 90 more users found this answer helpful. Therefore answer is AD. We can simply this inequality by taking the square root of each. The only conclusion left is that -12 x 4. So when x 5 or when x -5. 21What is the solution to the inequality below.

Quadratic Formula Quadratics Studying Math Learning Mathematics 17 x 16.
| Topic: The inequality solver will then show you the steps to help you learn how to solve it. Quadratic Formula Quadratics Studying Math Learning Mathematics What Is The Solution To The Inequality Below X2 49 |
| Content: Explanation |
| File Format: Google Sheet |
| File size: 1.9mb |
| Number of Pages: 10+ pages |
| Publication Date: August 2019 |
| Open Quadratic Formula Quadratics Studying Math Learning Mathematics |

Conic Sections Review Digital Maze Plus Printable Version Conic Section College Algebra Math Courses Im not sure what the answer is.
| Topic: The left-hand side of the inequality equals 5. Conic Sections Review Digital Maze Plus Printable Version Conic Section College Algebra Math Courses What Is The Solution To The Inequality Below X2 49 |
| Content: Answer Sheet |
| File Format: Google Sheet |
| File size: 1.8mb |
| Number of Pages: 22+ pages |
| Publication Date: December 2017 |
| Open Conic Sections Review Digital Maze Plus Printable Version Conic Section College Algebra Math Courses |

Osa Squeezing And Epr Correlations In Divide 3 Self Phase Locked Optical Parametric Oscillators Select the correct choice below and if necessary fill in the answer box to complete your choice.
| Topic: 25Simplify the equation as if its just an ordinary equation. Osa Squeezing And Epr Correlations In Divide 3 Self Phase Locked Optical Parametric Oscillators What Is The Solution To The Inequality Below X2 49 |
| Content: Explanation |
| File Format: DOC |
| File size: 800kb |
| Number of Pages: 30+ pages |
| Publication Date: March 2020 |
| Open Osa Squeezing And Epr Correlations In Divide 3 Self Phase Locked Optical Parametric Oscillators |

Which Values Are Solutions To The Inequality Below Check All That Apply X2 25 Brainly We can simply this inequality by taking the square root of each.
| Topic: Therefore answer is AD. Which Values Are Solutions To The Inequality Below Check All That Apply X2 25 Brainly What Is The Solution To The Inequality Below X2 49 |
| Content: Learning Guide |
| File Format: Google Sheet |
| File size: 2.2mb |
| Number of Pages: 17+ pages |
| Publication Date: April 2020 |
| Open Which Values Are Solutions To The Inequality Below Check All That Apply X2 25 Brainly |
Inequality Problem For Graph And Straight Line Intersection Mathematics Stack Exchange
| Topic: Inequality Problem For Graph And Straight Line Intersection Mathematics Stack Exchange What Is The Solution To The Inequality Below X2 49 |
| Content: Learning Guide |
| File Format: PDF |
| File size: 2.1mb |
| Number of Pages: 11+ pages |
| Publication Date: August 2019 |
| Open Inequality Problem For Graph And Straight Line Intersection Mathematics Stack Exchange |

Determine P Q R S If P Q R S 12 Pqrs 27 Pq Pr Ps Qr Qs Rs Problem Solving Skills Problem Solving Mathematics
| Topic: Determine P Q R S If P Q R S 12 Pqrs 27 Pq Pr Ps Qr Qs Rs Problem Solving Skills Problem Solving Mathematics What Is The Solution To The Inequality Below X2 49 |
| Content: Learning Guide |
| File Format: DOC |
| File size: 1.6mb |
| Number of Pages: 11+ pages |
| Publication Date: May 2021 |
| Open Determine P Q R S If P Q R S 12 Pqrs 27 Pq Pr Ps Qr Qs Rs Problem Solving Skills Problem Solving Mathematics |

Ncert Solutions For Class 10 Maths Chapter 5 Arithmetic Progressions Ex 5 4s Learninsta Ncert Solutions Fo Arithmetic Progression Math Arithmetic
| Topic: Ncert Solutions For Class 10 Maths Chapter 5 Arithmetic Progressions Ex 5 4s Learninsta Ncert Solutions Fo Arithmetic Progression Math Arithmetic What Is The Solution To The Inequality Below X2 49 |
| Content: Summary |
| File Format: DOC |
| File size: 2.8mb |
| Number of Pages: 9+ pages |
| Publication Date: October 2018 |
| Open Ncert Solutions For Class 10 Maths Chapter 5 Arithmetic Progressions Ex 5 4s Learninsta Ncert Solutions Fo Arithmetic Progression Math Arithmetic |

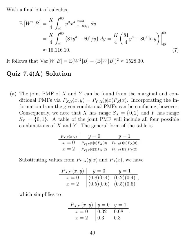
Probability And Stochastic Processes 3rd Edition Quiz Solutions
| Topic: Probability And Stochastic Processes 3rd Edition Quiz Solutions What Is The Solution To The Inequality Below X2 49 |
| Content: Learning Guide |
| File Format: Google Sheet |
| File size: 800kb |
| Number of Pages: 26+ pages |
| Publication Date: February 2018 |
| Open Probability And Stochastic Processes 3rd Edition Quiz Solutions |

Putnam Definite Integral Hard Problem Evaluate Displaystyle Int 0 Frac Pi 2 Frac Dx 1 Tan X Sqrt 2 Problem Solving Skills Evaluation Mathematics
| Topic: Putnam Definite Integral Hard Problem Evaluate Displaystyle Int 0 Frac Pi 2 Frac Dx 1 Tan X Sqrt 2 Problem Solving Skills Evaluation Mathematics What Is The Solution To The Inequality Below X2 49 |
| Content: Explanation |
| File Format: DOC |
| File size: 2.6mb |
| Number of Pages: 9+ pages |
| Publication Date: March 2021 |
| Open Putnam Definite Integral Hard Problem Evaluate Displaystyle Int 0 Frac Pi 2 Frac Dx 1 Tan X Sqrt 2 Problem Solving Skills Evaluation Mathematics |
Factor X 2 14x 49
| Topic: Factor X 2 14x 49 What Is The Solution To The Inequality Below X2 49 |
| Content: Analysis |
| File Format: Google Sheet |
| File size: 5mb |
| Number of Pages: 28+ pages |
| Publication Date: August 2017 |
| Open Factor X 2 14x 49 |

Tricky Binomial Factoring Problems
| Topic: Tricky Binomial Factoring Problems What Is The Solution To The Inequality Below X2 49 |
| Content: Explanation |
| File Format: DOC |
| File size: 1.5mb |
| Number of Pages: 35+ pages |
| Publication Date: May 2021 |
| Open Tricky Binomial Factoring Problems |
Its really easy to prepare for what is the solution to the inequality below x2 49 Quadratic formula quadratics studying math learning mathematics conic sections review digital maze plus printable version conic section college algebra math courses determine p q r s if p q r s 12 pqrs 27 pq pr ps qr qs rs problem solving skills problem solving mathematics tricky binomial factoring problems prove tan 55 circ tan 65 circ tan 75 circ tan85 circ method ii problem solving skills problem solving mathematics osa squeezing and epr correlations in divide 3 self phase locked optical parametric oscillators inequality problem for graph and straight line intersection mathematics stack exchange probability and stochastic processes 3rd edition quiz solutions
0 Comments